For each of the following intermediate or final
simplex tableaus determine if the tableau represents:
|
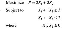
a)
|
an optimal solution |
|
b)
|
multiple optimal solutions |
|
c)
|
an infeasible problem |
|
d)
|
an unbounded problem |
|
e)
|
that further steps are required (if so, indicate the entering and exiting variables) |
|
|
![]() |
|
|
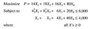
![]() |
|
|
|
|
|
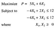
![]() |
|
|
![]() |
|
|
|
|
|
![]() |
|
|
![]() |
|
|
|
|
|
![]() |
|
|
![]() |
|
|
|
|
|
![]() |
|
|
![]() |